Basic Domain Range Function

Quiz
•
Mathematics
•
8th - 10th Grade
•
Hard
+1
Standards-aligned
Barbara White
Used 7+ times
FREE Resource
16 questions
Show all answers
1.
MULTIPLE CHOICE QUESTION
3 mins • 1 pt
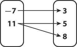
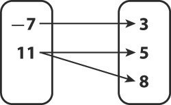
R: {0, 1, 2, -4}
R:{-4, -3, 1}
R:{1, -3, -4}
R:{(0,1), (1,-3), (2,-4), (-4,1)}
2.
MULTIPLE CHOICE QUESTION
5 mins • 1 pt

Tags
CCSS.8.F.A.1
3.
MULTIPLE CHOICE QUESTION
3 mins • 1 pt

4.
MULTIPLE CHOICE QUESTION
1 min • 1 pt

5.
MULTIPLE CHOICE QUESTION
5 mins • 1 pt
Tags
CCSS.HSF.IF.A.2
6.
MULTIPLE CHOICE QUESTION
5 mins • 1 pt
find h(8).
Tags
CCSS.HSF.IF.A.2
7.
MULTIPLE CHOICE QUESTION
5 mins • 1 pt
Tags
CCSS.HSF.IF.A.2
Create a free account and access millions of resources
Similar Resources on Wayground
19 questions
Relation and Function

Quiz
•
8th - 10th Grade
20 questions
Evaluating Functions

Quiz
•
7th - 9th Grade
18 questions
Chapter 3 Practice Test

Quiz
•
9th - 12th Grade
18 questions
C4Q1 Functions & Describing Graphs

Quiz
•
8th - 10th Grade
14 questions
Function or not? Part 1: Ordered Pairs/Tables

Quiz
•
8th Grade
15 questions
Algebra 1 Review

Quiz
•
9th - 10th Grade
14 questions
Relations, Functions, Domain and Range

Quiz
•
9th Grade
11 questions
Is It A Function???

Quiz
•
9th Grade
Popular Resources on Wayground
10 questions
Video Games

Quiz
•
6th - 12th Grade
20 questions
Brand Labels

Quiz
•
5th - 12th Grade
15 questions
Core 4 of Customer Service - Student Edition

Quiz
•
6th - 8th Grade
15 questions
What is Bullying?- Bullying Lesson Series 6-12

Lesson
•
11th Grade
25 questions
Multiplication Facts

Quiz
•
5th Grade
15 questions
Subtracting Integers

Quiz
•
7th Grade
22 questions
Adding Integers

Quiz
•
6th Grade
10 questions
Exploring Digital Citizenship Essentials

Interactive video
•
6th - 10th Grade
Discover more resources for Mathematics
10 questions
Parallel Lines Cut by a Transversal

Quiz
•
8th Grade
15 questions
Solving Multi-step Equations with Variables on Both Sides

Quiz
•
8th Grade
24 questions
3.1 Parallel lines cut by a transversal

Quiz
•
8th Grade
12 questions
Graphing Inequalities on a Number Line

Quiz
•
9th Grade
20 questions
Slope from a Graph

Quiz
•
8th Grade
16 questions
Parallel lines cut by a transversal vocabulary

Quiz
•
8th Grade
20 questions
Parallel Lines Cut by a Transversal

Quiz
•
8th Grade
15 questions
Two Step Equations

Quiz
•
9th Grade